我国儿童青少年癌症生存率及医疗可及性研究
北京儿童医院倪鑫教授等报告,中国在儿科癌症患者生存率方面取得了重大进步,但不同社会经济发展水平地区内部和地区之间仍存在不平等现象。青少年癌症患者中的这种不平等程度似乎更高。虽然跨省寻求医疗通常与更高的生存率相关,但结局差异依然存在,这与患者居住地和治疗地的社会经济发展情况相契合。中国医疗卫生体系应优先在省级层面和区域层面为儿科癌症医疗分配分级资源,以推动健康公平。(Lancet. 2025年12月23日在线版)
作为可持续发展的目标,为了改善健康公平,及时评估癌症生存间的不平等性至关重要。为了评估中国儿童和青少年癌症中最新的全国5年生存率及生存差距,尤其是与医疗服务可及性相关的差异,该项前瞻性全国队列研究利用中国国家儿科癌症监测中心的数据(覆盖中国1388个监测点及82.3%的新发病例),以Kaplan-Meier法估算了95 189例2018~2020年确诊的、0~19岁癌症患者的5年观察生存率,并按照年龄、性别、癌症类型、区域社会人口指数(SDI)类别、患者是否在其居住省(省内)或省外(跨省)接受治疗来评估生存率。

研究者根据SDI分数分布将31个省分为4个区域,这一综合指标反映了整体的区域社会经济发展情况。
结果显示,癌症患者的5年生存率,在0~14岁儿童患者中为77.8%(95%CI 77.4%~78.1%),在15~19岁青少年中为75.3%(95%CI 74.7%~75.9%),在全体儿童中为77.2%(95%CI 76.9%~77.5%)。女孩的5年生存率(79.0%,95%CI 78.6%~79.4%)高于男孩的(75.8%,95%CI 75.4%~76.2%)。在12个主要癌症分组中,视网膜母细胞瘤患者的生存率最高(91.2%,95%CI 90.0%~92.3%),恶性骨肿瘤患者的最低(60.4%,95%CI 59.0%~61.9%)。
在SDI下四分位数水平区域,所有癌症患者的生存率为72.6%(95%CI 71.8%~73.4%),在SDI上四分位数水平区域的为84.9%(95%CI 83.8%~86.1%),这表明,社会经济水平越高的地区,其癌症患者生存率也越高(P趋势<0.0001)。高SDI区域和低SDI区域间的绝对生存差异,在青少年患者中比在儿童患者中表现得更为明显,绝对率差分别为13.4%(95%CI 13.3%~13.5%)和11.7%(95%CI 11.7~11.8)。
值得注意的是,各SDI水平分类内仍存在区域内生存差异,且在低SDI地区尤为明显,省级区域内癌症患者5年生存率范围为61.4%~81.1%(HR=2.68,95%CI 1.99~3.62)。与省内诊疗的癌症患者(72 867例;5年生存率为76.4%,95%CI 76.0%~76.7%)相比,跨省诊疗患者(22 322例)的生存率显著增高(79.9%,95%CI 79.3%~80.4%;HR=0.81,95%CI 0.78~0.84)。在诊断和治疗方面,地区的社会经济地位越高,医疗服务供给指标的密度也越大。
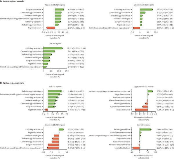
基于情景模拟,与估计死亡风险降低相关的关键指标因地区而异,但包括儿科癌症中病理团队的密度,以及提供手术、放疗、治疗后支持护理的机构。

美国St Jude儿童研究医院Lam教授评论指出,持续投资儿童癌症登记以及加强医院和人口登记对于衡量重要指标而言至关重要,正如这项全国儿科癌症监测工作所示,政府持续投资是必要的。事实上,将数据收集、分析和报告扩展到涵盖诊断阶段、所施治疗、治疗失败原因(如治疗放弃的累计发生率、治疗相关死亡率和复发),以及阐明影响患者(包括去其他省份的就医者)的政策和系统干预,将使区域性干预、发病部位特异性干预、个体水平干预成为可能。
虽然中国报告缺乏儿童早期诊断项目、指南和转诊路径,以作为中国GICC的基线,但监管措施的持续加强,包括拟议的转诊系统,同时进行医疗基础设施和劳动力的投资,这些努力应该能改善更多孩子的结局。
(编译 韩小东)



