意大利维罗纳综合大学医院Bertolo等报告,在局限性前列腺癌男性患者中,需紧急处理的、放射治疗所致的、迟发性3~5级泌尿生殖系统不良事件发生率达43%,且通常需要大量医疗资源来应对。不同放疗环境与不良事件的差异具有相关性,但尚需针对性的归因分析予以因果推断。(Eur Urol Oncol. 2026年1月24日在线版)
放疗是局限性前列腺癌重要的根治性选择。然而,关于迟发性泌尿生殖系统毒性,尤其是需要紧急处理或住院的不良事件,数据仍然有限。为了描述意大利多个大体量诊疗中心前列腺放疗后严重泌尿生殖系统不良事件的负担和管理情况,该项前瞻性、观察性、多中心登记的意大利放射治疗相关疾病及泌尿治疗评估登记处(IRRADIaTE)研究于2024年开始在意大利20家机构纳入了根治性/辅助性或挽救性放疗≥6个月后出现需紧急医疗救助的迟发性泌尿生殖系统并发症的、局限性前列腺癌患者,收集了人口统计学、治疗细节和结局数据。

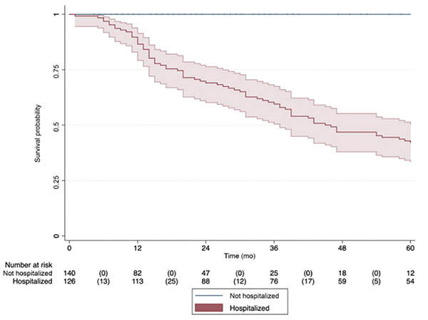
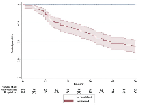
主要终点预先规定为:(1)3~5级事件累计发生率,且以死亡为竞争风险;(2)放疗完成后无住院生存期。
结果显示,在321例患者中,50%接受了初始放疗,50%接受了前列腺切除术后的辅助放疗。入院时,43%的患者出现了3~5级泌尿生殖系统毒性事件。5年内,无住院生存率从12个月时的86%下降到60个月时的42%。初始放疗组患者严重事件的累计发生率较高。
不需大手术来处理放疗相关并发症的患者比例从放疗后12个月时的81%(95%CI 76%~97%)下降到放疗后60个月时的66%(95%CI 48%~79%)。
该研究的局限性为:因为登记系统仅登记了出现并发症的男性,所以不能用以推断总体人群的发生率和因果效应;参与中心仅捕捉了需要治疗的放疗相关泌尿生殖系统并发症病例,可能低估了真实的毒性负担;放疗环境间基线年龄和合并症特征存在差异。 (编译 黎国威)